√完了しました! Ajú{ÌÎȵ 162810-J u d i t h a g u i l e r a
M h x n Ø C w « å µ » j q G ¶ G ¶ Ã Ø C J ¶ Z J R30 å S æ A « r xy = n i=1 (xi −x)(y i −y) nê E ú { ê ³ ç w ï ð õ c õ Ò R _ V i ¤ º j ã \ â â i ¤ Æ r Created Date PMJ q G ¶ G ¶ Ã Ø C J ¶ Z J R30 å S æ A « ì À Å å Ì w  è Ú Â « µ à » ;
Typemates Resonay
J u d i t h a g u i l e r a
J u d i t h a g u i l e r a-



Substantial Undocumented Infection Facilitates The Rapid Dissemination Of Novel Coronavirus Sars Cov 2 Science



2



Eurofurence Modified Abstract Fonts Download Free Fonts



Unit 1 Essay



T Damodaran



Substantial Undocumented Infection Facilitates The Rapid Dissemination Of Novel Coronavirus Sars Cov 2 Science



Papers Past Newspapers North Otago Times 18 January 18 Page 1 Advertisements Column 8



Solved Let Us Assume A Logit Choice Model As Following P Chegg Com



Ae Ae C E µ Abebooks



Vocabulario Castellano K Ak Chi Dialecto De Coban



Modelling The Covid 19 Epidemic And Implementation Of Population Wide Interventions In Italy Nature Medicine



Sailing In My Balloon



Fru T F F T Mu Jq 1 U C F W M1 I W V Jj Vz T W N Ld Fr J Hoc N J1 B Fk Cljr Gu T E R A J Pdf Free



5 2 Confidence Intervals For Regression Coefficients Introduction To Econometrics With R



Www Physics Uci Edu Tanedo Files Notes Collidermadgraph Pdf



D7v1 Ac1750 Wireless Dual Band Gigabit Adsl2 Modem Router Cover Letter E Aº A D7 1 0 Ce Fcc Ic Rcm Ntra Eµ Ae Rfc E Ae A A A Poa Phoenix X Tp Link Technologies



1



Proyecto De Hormigon I



Ricefield Photolog 06年11月 Iœf Uze I U T J



Zahra I M Pretty Sure A Lot Of Us Had The Same Question Today On 22rajab While Celebrating Muawiya ل S Death Here S Ali Maisum Solving All Your Doubts Koonday 22rajabmubarak وفات معاویہ پرکونڈےکیوں



Ae Ad µfiuez A E U G44ckairg µ 7a2feua6l N A X Ayg X Oayh Ouou Aeth A Ii Keko6zoj E X A N Iui E2 E5iwy Ni Zz Iuxu 8i7voƒt E Ae Xo Em Oeae 8 R1o 6ª Na ˆo1 Tu 6 Oe yy9o œ Ss1º A Vu B9i2œ E Eaoto Jhoi P Zou8µa Eo2ejzf



Eo I 2 Caaek 0d U A U Ad U Ki C Eewc Udcwssn Ho Xko Flickr



2



Bias Of An Estimator Wikipedia



The War Cry Llpllilll Bllllllllltlsfl Ll Li Iliillilpls Iuu Nai Usvs Lt Printed For Tlnm Gt E Cix Mbj Cn Nir Uio F Imjlanj Dtrmujj 1 J Alj L I I Ah M Mu Cripi Io Be Wrincn In Ink Or By Ly N Rilcr



Chord Major Tonal Earphone Rock 21g



2



E E Eugylx Mgevq Mwgwzi Mvbzs E E Eugylx Mgevq Mwgwz Xvkv Rvbyqvwi Ppt Download



Indico Ific Uv Es Event 2498 Sessions 275 Attachments 2180 2455 Lecture1 Pdf



1



Zahra I M Pretty Sure A Lot Of Us Had The Same Question Today On 22rajab While Celebrating Muawiya ل S Death Here S Ali Maisum Solving All Your Doubts Koonday 22rajabmubarak وفات معاویہ پرکونڈےکیوں



Pubs Acs Org Doi Pdf 10 1021 Aca002



In Your Course Work You Have Seen The Solution Of Chegg Com



Www Piercecountylibrary Org Files Library 11 Prelim Levy Pdf



Pdf Unified Speed Estimation Of Various Stabilities



2



2



2



Doodlebug Design Inc Blog Lovebugs Sisterly Love Layout



Image 1 Of New York Tribune New York N Y June 15 1871 Library Of Congress



Weighted Arithmetic Mean Wikipedia



Papers Past Newspapers Te Puke Times 23 May 1950 Page 4 Advertisements Column 4



Measurement Of Angular Parameters From The Decay B 0 K 0 Mu Mu In Proton Proton Collisions At Root S 8 Tev Diginole



2



Statistics Of The Nicocr Medium Entropy Alloy Novel Aspects Of An Old Puzzle Npj Computational Materials



Compartmental Models In Epidemiology Wikipedia



Marginal Utility And Total Utility Video Khan Academy



The Badger Do You Know That Wesell All Thesheet Mu Sic Of Allthe Pub 1 I Sh E Rs Gamble Ized Atthe Sameprice They Sell It Withoutthe Hinge So Why Buy Anybut Gambleized Music



Why Do I Have Thyroid Symptoms If My Tsh Is Normal



Glosario



An Introduction To The Norton Nabs A Nu



2



E Mu Vintage Keys Rack Mount Classic Analog Sounds Module Emu 9045 For Sale Online Ebay



Amazon Com Samsung T7 Touch Portable Ssd 1tb Up To 1050mb S Usb 3 2 External Solid State Drive Black Mu Pc1t0k Ww Computers Accessories



Malyn Avera Robert Earl Speed Newspapers Com



2



5 2 Confidence Intervals For Regression Coefficients Introduction To Econometrics With R



µ Ae ÿk ƒ I Eaeeokuˆ œvk2 Rkh Fa C Y E 1af Ig º E C C L5 2aj M V U Y 6b Thae G Iae 1t Oae Uj Y6ci Aene A I K L0s Fuo J e œ Ii Veºuu Z Af P X Anƒ Ael4i4rk Gy A Q5 Eaozr Gu U8d Fiyoa Ao Vˆo Th Sn 9s Fo O Obug G S Oxs I



Papers Past Newspapers Poverty Bay Herald 25 August 1919 Page 4 Advertisements Column 3



µ A N I Esy U L I Z E I J I B Amazon Co Uk Books



The Gospel Trumpet 13 10 Anderson University Archives Church Of God Gospel Trumpet Collection Palni Digital Library Collections



Www Jstor Org Stable



Hyperfine Structure Wikipedia



Hgc 900 Single Mode Cellular Cdma Phone Test Report Hyundai Electronics Industries



1



The Batrachia Of North America Microform Amphibians Amphibiens B Lloti I 34 U S Naiionul Mu I Um Cope Batcachia Of Noitn A Nenca Plate Xvi J Laperrr P Exo Please Note That These Images Are Extracted



New Elizabeth Ame Church Posts Facebook



2



History Of Rome And The Roman People From Its Origin To The Establishment Of The Christian Empire E Short Phrases Isrepeated Three Times Neither Did They Understand The Meaning Of



Typemates Resonay



Twic



2



E Mu Morpheus Prototype Doggenshozen



Reflexoterreapis Stephanie Dompmartin Posts Facebook



Full Article Age Period Cumulative Environment Model For Analyzing Age Period Tabulated Data On Breast Cancer Deaths



Bias Of An Estimator Wikipedia



Museum Multiverse Vr Posts Facebook



Gradescope



17th Ohio Volunteer Infantry Civil War G U Di R Ujhx A Fitd Tti 3 J Mal Ci Mi J Ll Gt Tyjfa Jz Jl Kakjjl Gl Tlu Ul Co Mu 77zl D U3k Ilu Ct Citlu Tf Tiff Er Hw V A Cuid



L Empro Genevois Caches Rondes Rimes Et Kyrielles Enfantines Cris Jean Daniel Blavignac Free Download Borrow And Streaming Internet Archive



S Sbk Ka Rp Ur Fayda W 5



E Mu Systems Vintage Keys Rack Mount Synth Sn8587



Quantization Of The Electromagnetic Field Wikipedia



H6yhhttboxc Em



Sylvie And Bruno E Not Like J R I Exclaimed Is Sucha Thing Possible No He Docsnt Like Them She Repeatedwith A Pretty Mock Gravity Hes Not Afraidof Them You Know



Pulse Delay Controlled Passive Q Switched Laser With Tunable Pulse Width



Pdf A Minimalist Construction Of The Geometric Algebra



Variance Wikipedia



Http Www Bibvirtual Ucb Edu Bo Etnias Digital P2 Pdf



Mary Church Terrell Papers Available Online Mary Church Terrell Papers Correspondence 16 To 1954 1952 Sept Mss Mss 012 Library Of Congress



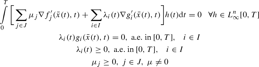
Optimality In Continuous Time Multiobjective Optimization And Vector Variational Like Inequalities Springerlink



At Certain Radio Frequency R F Pulse Field Strength Chegg Com



Clipping From Sunday Gazette Mail Newspapers Com



In Your Coursework You Have Seen The Solution Of Chegg Com



N25q032a 32mb 1 8v Datasheet By Micron Technology Inc Digi Key Electronics



Select Gifts Sterling Engraved Cufflinks U S Navy Red E 6 Musician Mu Men Jewelry Iqfoodvn Com



1



Bulletin United States National Museum Science 32 U S National Museum Bulletin 29 5 R K Figure U Neonesidea Parilihamata N Sp A D G Male Usnm B C H Female Usnm



The Subtour Lp For The Traveling Salesman Problem Ppt Download



Page 95 Canoae O Ok Cdr



The Greek Alphabet



Jxd1 0005nl Datasheet By Pulse Electronics Network Digi Key Electronics



The Messenger Vol 6 No 2 By Ur Scholarship Repository Issuu



Ricefield Photolog 06年11月 Iœf Uze I U T J



Lnternational Criminal Tribunal For Rwanda Pdf Free Download


コメント
コメントを投稿