画像 \[hA[gIC vObVu 5ª 172572
2
\[hA[gI"C" vObVu 5ª
\[hA[gI"C" vObVu 5ª-



1



List Of Unicode Characters Wikipedia



Scielo Brasil Rates And Methods Of Phosphorus Application In Cabbage Crop Rates And Methods Of Phosphorus Application In Cabbage Crop



Calculations In Chemistry Pdf Gases Molecules



Pdf Vowel Features In Turkish Accented English



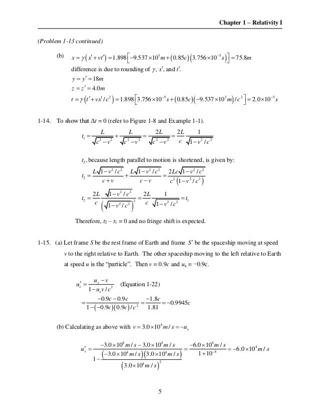
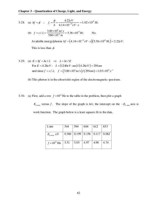
Modern Physics Paul A Tipler 6ª Edicao Solutio Manual



34 8 9 3 A C 2de 8 5f 9 A35g3 H I5j 5 5 Hjk3 5 A3g5 A5l9 9 3 A



Sjjr5zoh28mohm



Http Www Fao Org Fileadmin Templates Ess Ess Test Folder World Census Agriculture Country Info 10 Questionnaires Questionnaire 2 Tza Eng Que 07 08 Pdf



2



Ascii Code



Prospective Associations Between Energy Balance Related Behaviors At 2 Years Of Age And Subsequent Adiposity The Eden Mother Child Cohort International Journal Of Obesity



Lggmwwoam4no2m



Estimation Of Coniferous Vegetation Parameters By Hyperspectral High Spatial Resolution Satellite Images



Vectors And The Geometry Of Space Monografias Com



Class 8 Flip Book Pages 1 50 Pubhtml5



Journals Plos Org Plosone Article File Type Supplementary Id Info Doi 10 1371 Journal Pone S001



Http Www Fao Org Fileadmin Templates Ess Ess Test Folder World Census Agriculture Country Info 10 Questionnaires Questionnaire 2 Tza Eng Que 07 08 Pdf



Hal Archives Ouvertes Fr Hal Document



2



Class 8 Flip Book Pages 1 50 Pubhtml5



2



Altgr Key Wikipedia



Scielo Brasil Comparative Anatomy And Histochemistry Of The Leaf Blade Of Two Species Of I Artocarpus I Comparative Anatomy And Histochemistry Of The Leaf Blade Of Two Species Of I Artocarpus I



Scielo Brasil The Key Aspects Of Procurement In Project Management Investigating The Effects Of Selection Criteria Supplier Integration And Dynamics Of Acquisitions The Key Aspects Of Procurement In Project Management



2



Chharito Nepali Class 2 Final Flip Ebook Pages 1 50 Anyflip Anyflip



2



2



If F And G Are The Functions Whose Graphs Are Shown Let U X F G X V X G F X And W X G G X Find Each Derivative Wyzant Ask An Expert



Vectors And The Geometry Of Space Monografias Com



Estimation Of Coniferous Vegetation Parameters By Hyperspectral High Spatial Resolution Satellite Images



Pdf 5 Model Theory Of Modal Logic



Core Ac Uk Download Pdf 6544 Pdf



مراعاة مصلحة المحضون في الفقه وقانون الأسرة البحريني



Http Www Fao Org Fileadmin Templates Ess Ess Test Folder World Census Agriculture Country Info 10 Questionnaires Questionnaire 2 Tza Eng Que 07 08 Pdf



1



Altgr Key Wikipedia



Solutions Manual



2



Pdf Back To The Future The Higher Education Curriculum In The 21st Century



2



A Delightful Site For Writers And Lovers Of Words And Language It Is All About The Number Zero Its Place In The History Philosophy And World Literatures We Have Heard Of Calling Someone A Total Zero As An Insult But What Does Zero Really Mean This



2



Pdf The Homological Functor Of A Bieberbach Group With A Cyclic Point Group Of Order Two Rohaidah Masri Hazzirah Hassim And Nor Ashiqin Idrus Academia Edu



Creche Comendador Piero Pollone Ialp Photos Facebook



十大网络娱乐平台注册 欢迎您



Pdf Ultra Fast Nh4 Storage Strong H Bonding Between Nh4 And Bi Layered V2o5



Vectors And The Geometry Of Space Monografias Com



Diagnosis And Treatment Of Iron Deficiency With Or Without Anemia Before And After Bariatric Surgery Endocrinologia Y Nutricion English Edition



Scielo Brasil Comparative Anatomy And Histochemistry Of The Leaf Blade Of Two Species Of I Artocarpus I Comparative Anatomy And Histochemistry Of The Leaf Blade Of Two Species Of I Artocarpus I



Chharito Nepali Class 2 Final Flip Ebook Pages 1 50 Anyflip Anyflip



2



2



Photonic Filters Using Optical Retarders Based On Birefringent Optical Media



Vectors And The Geometry Of Space Monografias Com



1



M Restaurant



Estimation Of Coniferous Vegetation Parameters By Hyperspectral High Spatial Resolution Satellite Images



Www Ecmwf Int File Download Token Yb62xyu3



Altgr Key Wikipedia



Vectors And The Geometry Of Space Monografias Com



Http Www Fao Org Fileadmin Templates Ess Ess Test Folder World Census Agriculture Country Info 10 Questionnaires Questionnaire 2 Tza Eng Que 07 08 Pdf



2



Q Tbn And9gcsux8xsee0ww4dofmyf6nmoakmwn7 Xi5adekk Botwbrnknyz3 Usqp Cau



1



Vectors And The Geometry Of Space Monografias Com



Calculations In Chemistry Pdf Gases Molecules



Vectors And The Geometry Of Space Monografias Com



Nepali Civil Aviation Authority Of Nepal



Pdf Ultra Fast Nh4 Storage Strong H Bonding Between Nh4 And Bi Layered V2o5



Pdf Hosoya Polynomials Of Pentachains



Lggmwwoam4no2m



Diagnosis And Treatment Of Iron Deficiency With Or Without Anemia Before And After Bariatric Surgery Endocrinologia Y Nutricion English Edition



Lggmwwoam4no2m



Solution Manual For Applied Petroleum Reservoir Engineering By Craft By Kholoud Hamad Issuu



Impact Assessment Of Different Electric Fields On The Quality Parameters Of Blueberry Flavored Dairy Desserts Processed By Ohmic Heating Sciencedirect



Arxiv Org Pdf Cond Mat



Molecules Free Full Text The Microencapsulation Of Maqui Aristotelia Chilensis Mol Stuntz Juice By Spray Drying And Freeze Drying Produces Powders With Similar Anthocyanin Stability And Bioaccessibility Html



Yesto Nahos Savasad Ko Niyat By Tannerichaso Issuu



Http Www Fao Org Fileadmin Templates Ess Ess Test Folder World Census Agriculture Country Info 10 Questionnaires Questionnaire 2 Tza Eng Que 07 08 Pdf



Page 4 Chaitra 19



ha Sanchar Weekly Rukum West 8 8 Saun 7 77 By Megraj Khadka Issuu



Link Zur Publikation Pdf 332 0 Kb Fachgebiet Angewandte



If A 3 6 9 12 15 18 21 B 4 8 12 16



2



कक ष ६ क न प ल प ठ यप स तक Class 6 Nepali Text Book Flip Ebook Pages 1 50 Anyflip Anyflip



Linear Algebra Example Problems Subspace Example 5 Youtube



2



Rp Hplc And Lc Ms Ms Determination Of A Bioactive Artefact From Ipomoea Pes Caprae Extract Sciencedirect



Pdf Vowel Features In Turkish Accented English



Pdf Investigation Of Mechanisms Of Erosion And Sediment Studies In Afjeh And Lavarak Sub Basins Using Experimental Models And Compare Them With Geostatic Methods Seyed Hamid Vaziri Phd Dsc Academia Edu



In Vander Wall S Equation P A V 2 V B Rt What Are Th



Unicode Character Table



How To Solve Unicode Encoding Issues



Seminar 2 E E E Te De Ca C P Obabi It At I O Continuare 5



Www Theglobalfund Org Media 3177 Bm14 10trpround6 Report Ar Pdf



Sms Length Calculator And Text Message Segment Counter



Www Ejcancer Com Article S0959 8049 21 6 Pdf



Scielo Brasil Comparative Anatomy And Histochemistry Of The Leaf Blade Of Two Species Of I Artocarpus I Comparative Anatomy And Histochemistry Of The Leaf Blade Of Two Species Of I Artocarpus I



Modeling The Release Of Antimicrobial Agents Thymol And Carvacrol From Two Different Encapsulation Materials Abstract Europe Pmc



Wwdzduebv1e7om



2



Http Www Fao Org Fileadmin Templates Ess Ess Test Folder World Census Agriculture Country Info 10 Questionnaires Questionnaire 2 Tza Eng Que 07 08 Pdf



Lggmwwoam4no2m


コメント
コメントを投稿